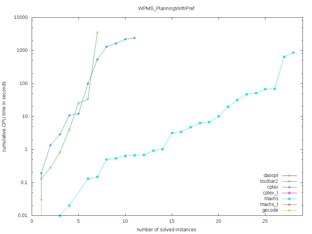
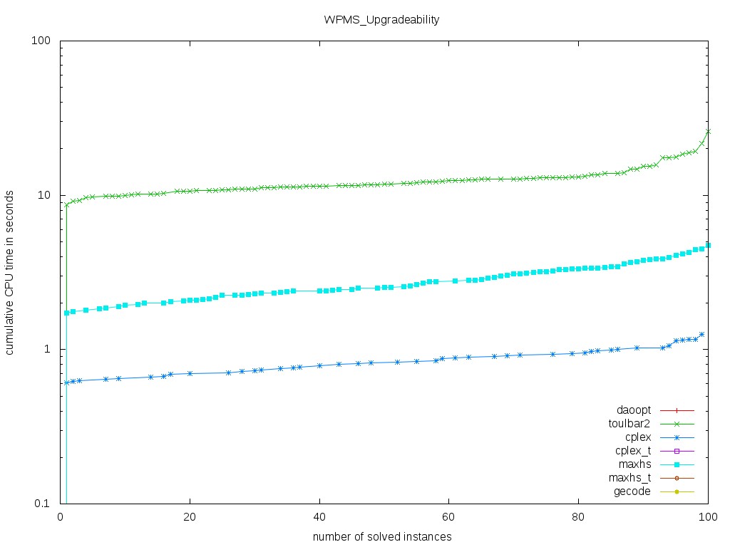
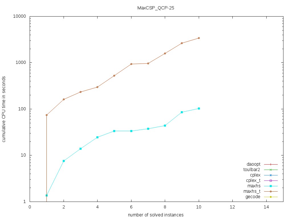
MRF MRF/DBN MRF/Grid MRF/ImageAlignment MRF/Linkage MRF/ObjectDetection MRF/ProteinFolding MRF/Segmentation CVPR CVPR/ChineseChars CVPR/ColorSeg-4 CVPR/ColorSeg-8 CVPR/ColorSeg CVPR/GeomSurf-3 CVPR/GeomSurf-7 CVPR/InPainting-4 CVPR/InPainting-8 CVPR/Matching CVPR/MatchingStereo CVPR/ObjectSeg CVPR/PhotoMontage CVPR/ProteinInteraction CVPR/SceneDecomp CFN CFN/Auction CFN/CELAR CFN/Pedigree CFN/ProteinDesign CFN/SPOT5 CFN/Warehouse MaxCSP MaxCSP/BlackHole-13 MaxCSP/BlackHole-4 MaxCSP/BlackHole-7 MaxCSP/Coloring MaxCSP/Composed-25-1-2 MaxCSP/Composed-25-1-25 MaxCSP/Composed-25-1-40 MaxCSP/Composed-25-1-80 MaxCSP/Composed-75-1-2 MaxCSP/Composed-75-1-25 MaxCSP/Composed-75-1-40 MaxCSP/Composed-75-1-80 MaxCSP/EHI-85 MaxCSP/EHI-90 MaxCSP/Geometric MaxCSP/Langford MaxCSP/QCP-10 MaxCSP/QCP-15 MaxCSP/QCP-20 MaxCSP/QCP-25 WPMS WPMS/Haplotyping WPMS/MIPLib WPMS/MaxClique WPMS/PackupWeighted WPMS/PlanningWithPref WPMS/TimeTabling WPMS/Upgradeability CP CP/AMaze CP/FastFood CP/Golomb CP/OnCallRostering CP/ParityLearning CP/VRP